简述
中文翻译标题:精氨酸
汉语语法拼音名:Jing‘ansuan
英文版名字:Arginine
普通机械名字:L-2-氨基-5-胍基戊酸
CAS号:74-79-3
电学碳原子式:C6H14N4O2
分子结构量:174.20
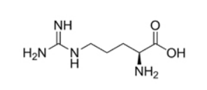
框架式:

特性:本品为黑色晶体或晶体性粉尘,可以说无臭,有特种味。本品在池中溶于,在无水乙醇中可以说不溶,在乙醚中可以说不溶;在稀酸洗中溶于。
程序执行标准化单位:地方进口药品参与控制局标准化单位YBH16362004,根据《九州我们中华共和国药典》(今年 版)。
获得许可文号:国药准字H20045457。
国度医疗otc药品监督检查菅理局医疗otc药品审评学校(CDE)登记簿号:Y20190005213。
储放:应遮光、密封性另存。
能够期:两年时间。
模式资格认证:国内GMP、日本的PMDA证书、USAFSMA证书、ISO 9001、ISO 14001、ISO 45001。
专业专注价格,撼动看好,从规则化到开发化。
已满足物理防御物理性质(堆强度、松强度、移动性)一对儿一个性化私人定制。
纸盒包装品种:(7kg/15L铝桶*2桶)/箱包装、(10kg/30L铝桶*1桶)/纸盒
常规检查细度:60目、100目、150目(可来样加工)
產品独有的助手:曹凯东 15127119722(同微信朋友圈)
当“卷”称为新常态,邀请剂型中小型企业、研制公司全周边所有地方、思维力化协议,强势专一性、牵引力破圈。从“供货商”到“意义共建和谐社会夥伴”的坚持者。